Свой советник 3.0

Надоело платить за советники? Все советники которые ты купил сливают? Остановись! Хватит тратить деньги на ерунду! Создай сам свой советник!

Vsignale GURU 1.0

Новый советник от разработчиков vsignale.ru. Приносит до 178% прибыли в месяц. Инструкция внутри.

Советник Hunter

Два в одном. Vsignale Hunter_1.0 и Vsignale Hunter_SuperProfi в одном роботе. Качай скорей!

Забыли пароль?Зарегистрироваться
FxMag.ru Блоги Рейтинг брокеров Магазин Новости Каталог Журнал Криптовалюты
 
Блоги
Добавить запись

Промокоды в действии: как скидки становятся частью финансовой стратегии покупателя

Современный рынок потребления стремительно меняется под влиянием цифровых технологий. Если еще несколько лет назад скидки и акции были инструментом привлечения внимания в розничной торговле, то сегодня они превратились в самостоятельный финансовый...

Прочее, 12 часов назад

PRO МЕДИА ХИМИЯКоличество подписчиков4108

Навесные картонные бирки: маленькие детали большого бизнеса

На первый взгляд, навесная картонная бирка кажется незначительным элементом простой кусочек картона, прикрепленный к одежде, аксессуарам или товарам. Однако в деловом мире этот скромный предмет играет куда более важную роль, чем можно предположить....

Прочее, 12 часов назад

PRO МЕДИА ХИМИЯКоличество подписчиков4108

Благодаря ресурсосбережению на «Сибстекле» сэкономили 130 млн рублей

Об этом рассказал генеральный директор ООО Сибирское стекло , руководитель Межотраслевого комитета производителей и потребителей стеклянной упаковки, участников системы оборота стеклоотходов Ассоциации содействия экономике замкнутого цикла Ресурс...

Прочее, 16 часов назад

Юнисервис КапиталКоличество подписчиков3147

Знакомьтесь, банкротство физических лиц в России: кому и зачем это надо, как это работает

С каждым годом в России растёт количество людей, которые не справляются с долговой нагрузкой. Причины разные потеря работы, болезнь, падение доходов или неудачные инвестиции. В такой ситуации банкротство физических лиц становится не просто правовым...

Прочее, 16 часов назад

PRO МЕДИА ХИМИЯКоличество подписчиков4108

Мнение: как устроена программа для оптимизации бизнеса?

О том, почему современному бизнесу нужна единая система управления мы поговрим сегодня в рамках данного материала. Раскрыть тему вызвался наш читатель Борис Полевой, программист по образованию и руководитель среднего звена по трудовой книжке. Вот,...

Программное обеспечение, 17 часов назад

PRO МЕДИА ХИМИЯКоличество подписчиков4108

Программа для маркетплейсов: как ускорить обработку заказов и снизить ошибки (мнение)

Сейчас поговрим о трейдинге, но не на рынке форекс, а на маркетплейсах. В частности, затронем тему программного обеспечения для данного процесса. Раскрыть озвученную тему вызвался Владимир Базанов. Вот, что он сообщает в своем письма на адрес нашей...

Программное обеспечение, 17 часов назад

PRO МЕДИА ХИМИЯКоличество подписчиков4108

Маржинальный анализ рынка за 07.10.2025 XAUUSD

XAUUSD: BUY 3891.91-3934.41, TP1-3976.91, TP2-4095.21. Только для наших читателей - бонус 202% при пополнении от $202, укажи промокод TOPUP25 в поддержке и торгуй с УТРОЕННЫМ капиталом, подробности акции по ссылке. Долгосрочная тенденция: в лонг....

Обзоры и аналитика рынка, 18 часов назад

FreshForexКоличество подписчиков6731

Биткоин бьёт рекорд, альткоины подтягиваются!

Биткоин (BTCUSD) обновил исторический максимум, достигнув отметки в $125 700! Рынок поддержали устойчивые притоки средств в спотовые фонды, рост интереса со стороны крупных инвесторов, ожидания более мягкой политики ФРС и спрос на защитные активы....

Обзоры и аналитика рынка, 1 день назад

FreshForexКоличество подписчиков6731

Кабельная продукция: проводник технологий и экономической стабильности

Современный мир невозможно представить без кабелей, проводов и разъемов, связывающих устройства и обеспечивающих передачу данных, видео и звука. От качества и характеристик этих компонентов зависит работа не только бытовой техники, но и целых...

Прочее, 1 день назад

PRO МЕДИА ХИМИЯКоличество подписчиков4108

Фундаментальный анализ рынка за 06.10.2025 GBPUSD

Событие, на которое следует обратить внимание сегодня: 11:30 EET. GBP - Индекс PMI для строительного сектора GBPUSD: Только для наших читателей - бонус 202% при пополнении от $202, укажи промокод TOPUP25 в поддержке и торгуй с УТРОЕННЫМ капиталом,...

Обзоры и аналитика рынка, 1 день назад

FreshForexКоличество подписчиков6731

Основы риск-менеджмента при торговле криптовалютами

Опубликовано: 7 лет назад
Автор: Forklog

Спецпроект «Основы криптотрейдинга» подготовлен журналом ForkLog в партнерстве с основанной на ИИ платформой прогнозирования криптовалютного рынка Cryptics, где представлен широкий функционал для трейдинга.

В заключительном материале спецпроекта, подготовленном с участием представителя инвестиционной платформы Olymp Trade Алексея Серова, читатели ознакомятся с основными принципами риск-менеджмента при торговле криптовалютами, а также узнают, как правильно рассчитывать позиции.

Виды рисков

При любых финансовых операциях есть риски, разновидностей которых существует достаточно много.

Например:

рыночный риск — риск неблагоприятного изменения стоимости актива; кредитный риск — риск банкротства эмитента криптовалюты или невыполнения им взятых на себя платежных обязательств; риск ликвидности — риск невозможности конвертировать весь объем позиции в фидуциарную валюту (или эквиваленты) по наилучшим ценам; операционный риск — риск столкнуться с отсутствием возможности совершать торговые операции или ввод/вывод активов.

Эти и многие другие риски влияют на работу и стабильность финансовых рынков и отдельных его участников. Когда финансовый институт или корпорация не выполняют своих обязательств, получают убытки от сделок с финансовыми активами или в операционной деятельности, это негативно отражается на ценах соответствующих активов. Такое положение дел обычно идет вразрез с интересами стейкхолдеров.

В зависимости от сложности и количества таких событий это может привести к коллапсу системы и вызывать финансовый кризис. Один из таких примеров неумелого управления рисками мы видели в 1995 году, когда один из старейших банков Barings был обанкрочен чередой сделок трейдера, который спекулировал деривативами на индекс Nikkei. По мемуарам этого трейдера Ника Лисона в 1999 году был снят достойный внимания фильм «Аферист». Также нередко в качестве отправной точки мирового финансового кризиса конца 2000-х годов называют банкротство американского инвестиционного банка Lehman Brothers.

Подобных примеров о тяжелых и далеко идущих последствиях неэффективного риск-менеджмента можно привести огромное количество. Однако вернемся к классификации рисков.

Здесь и далее мы будем рассматривать финансовый риск в более узком понимании, а именно как инвестиционный. Такой риск представляет собой вероятность недополучения или потери прибыли в результате финансовых операций. Стоит подчеркнуть, что если на системный риск мы повлиять никак не можем, то инвестиционный можно и нужно учитывать при работе с криптоактивами.

На самом деле, существует огромное количество разнообразных классификаций рисков, способов их учета и управления ими в различных экономических областях. Например, в сфере банковского надзора наиболее полный документ, регулирующий, в том числе риск-менеджмент, называется Базель III.

Вполне возможно, что со временем подобные методические рекомендации будут разработаны и для криптоиндустрии.

Базовые принципы инвестиционного риск-менеджмента

Первое, что должен сделать участник рынка, занимается он инвестированием или спекулированием, это выделить такое количество денежных средств, которое он со спокойной душой может потерять полностью. Психологически эта отметка находится на уровне 10% от месячного дохода. Если вы планируете далее профессионально заниматься таким видом деятельности, то ни в коем случае не торгуйте на заемные деньги, взятые у родственников, друзей или банков. К маржинальной торговле следует подходить с максимальной осторожностью, поскольку в данном случае извлечение потенциально высокой прибыли сопряжено со значительным риском.

И здесь мы подходим к базовому и достаточно логичному принципу:

Риск?Прибыль

Риск и прибыль находятся в прямой зависимости друг от друга. Иными словами, повышенный риск должен приносить высокую прибыль, и наоборот. Вывод из этого простого принципа также достаточно очевиден: если мы чрезмерно рискуем, чтобы заработать столько же (или даже меньше), то от такой инвестиции стоит отказаться.

Следующий принцип, который достаточно широко распространен в управлении рисками — это диверсификация инвестиций. Речь идет о навыках создания сбалансированного инвестиционного портфеля. Однако перед его формированием, диверсификацию следует начинать со снижения операционных рисков. Распределение доступного капитала между несколькими торговыми площадками позволит уменьшить возможные потери из-за взлома или закрытия одной из них.

В трейдинге это выражается в виде корректного расчета открываемой позиции, а также тесно связано с моделью управления капиталом в целом (с мани-менеджментом). Предельный случай и типичная ошибка для многих новичков — рисковать 100% капитала на одной сделке/позиции. Не стоит класть все яйца в одну корзину — эта поговорка отлично описывает подобную ситуацию.

В обоих случаях все сводится к определению максимально допустимого риска для каждой отдельно взятой операции.

Правила 2% и 6% от А. Элдера. Ограничение рисков на сессию

Стандартные, базовые рекомендации по риск-менеджменту встречаются во многих книгах по трейдингу. Одну достаточно популярную методику по управлению рисками описал в своих работах Александр Элдер. Ее можно и нужно применять на начальном этапе, пока не сформируется своя собственная система определения рисков в торговле.

«Акулы» в торговле и правило 2%. Описанная выше ошибка новичка с риском потери 100% средств имеет разновидность — инвестор рискует в моменте 30-50% депозита и более. Элдер называл такую ситуацию «риском быть съеденным акулой», когда в результате нескольких крупных потерь может наступить обнуление капитала. Для защиты от подобного риска размер одной позиции не должен превышать 2% от имеющихся средств. Это и есть то самое «правило двух процентов».

«Пираньи» в торговле и правило 6%. Иногда случается так, что трейдер по тем или иным (чаще психологическим) причинам не может остановить череду убыточных сделок, которую Элдер сравнивал со стаей хищных пираний, которые по кусочкам отхватывают добычу. Если таких сделок будет много, то капитал будет находиться в зоне повышенного риска.

Правило 6% ограничивает максимально используемую долю средств в торговом моменте. Другими словами, оно задает максимально допустимый риск на сессию. Если потеря капитала составила более 6% — необходимо прекратить торговлю на некоторое время (Элдер рекомендует 1-2 недели). Во-первых, для анализа ситуации, во-вторых, во избежание психологических ошибок.

Таким образом, Элдер рекомендует одномоментно открывать не более трех сделок, при этом каждую ограничивать двумя процентами от капитала. Разумеется, эти правила со временем можно модифицировать под свою торговую стратегию, изменить процентное соотношение и затрачиваемое на анализ время, однако общую концепцию рекомендуется оставить в первозданном виде.

Правильный расчет позиции

Необходимо взять за правило считать все в процентах. Риск можно охарактеризовать как вероятность наступления неблагоприятного исхода. Также под риском понимается уровень возможной финансовой потери. Таким образом, риск — это двумерная величина, характеризующая вероятность и объем потерь (от общего капитала). Все эти величины измеряются в процентах. При расчетах очень важно учитывать разнообразные комиссии на криптобиржах. Они могут быть следующими:

— перевод средств, депонирование и вывод; — открытие позиции (и закрытие другой позицией); — за использование маржинального плеча (процент лендинга или свопы) и т. д.

Кредитное плечо и его влияние на риски

Криптовалютные биржи можно условно разделить на несколько видов:

Важным моментом здесь является то, что кредитное плечо увеличивает размер позиции, однако во столько же раз повышает риск. Например, движение в противоположном направлении от точки открытия на 1% при плече x100 даст убыток -100% и маржин колл (по факту — даже раньше, за счет комиссий и биржевой механики).

Управление позицией

Для управления позициями необходимо использовать отложенные ордера Stop loss (SL) и Take profit (TP). Введем величину:

С= A/B

где:

C – соотношение прибыли к убытку; А – прибыль при срабатывании ордера TP; B – убыток при срабатывании ордера SL.

В литературе по трейдингу часто рекомендуют использовать торговые стратегии и точки входа с расчетным значением С от 2 до 3. Другими словами, потенциальная прибыль со сделки должна превышать возможный убыток в несколько раз.

Некоторые трейдеры не используют SL в торговле, предпочитая «пересидеть» просадку. Это усложняет контроль риска (падение может продолжится). Особенно не следует так делать при маржинальном трейдинге. Всем новичкам настоятельно рекомендуется использовать SL в торговле с использованием кредитного плеча.

Ниже представлена таблица, иллюстрирующая процент прироста капитала, необходимый для выхода «в безубыток» при различных объемах потерь:

Как видно из данных таблицы, управление размером позиции играет ключевую роль — чем больше убыток фиксирует трейдер, тем сложнее ему восстановить первоначальную сумму торгового капитала.

Например, депозит в $1000 после череды убыточных сделок превратился в $100. Теперь, чтобы вернуть первоначальный размер капитала, трейдеру необходимо нарастить сумму в $100 на 900%.

Без грамотного риск-менеджмента торговля на бирже превращается в нечто наподобие игры в казино.

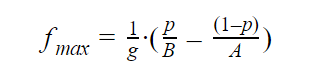
Расчет позиции по формуле Келли

Многие инвесторы при управлении рисками используют формулу Келли. Она служит для определения максимально допустимого процента капитала, который можно использовать для операции.

Процент капитала вычисляется по формуле:

f = x/K

где

x – сумма операции/сделки; К – сумма доступного капитала.

Формула Келли определяет предельное значение f:

где

p – вероятность положительного исхода по торговой стратегии; А – прибыль при срабатывании ордера TP; B – убыток, при срабатывании ордера SL; g – используемое кредитное плечо (равно 1, если плечо не используется).

Не рекомендуется использовать максимальные значения fmax, рассчитанные по формуле Келли. Оптимальный диапазон для снижения оценочных рисков:

На этой стадии появляется дополнительный риск, связанный с неверным определением вероятности.

Работа с вероятностью

Существует несколько различных подходов к определению вероятности положительного исхода инвестирования:

— если источник прогнозирования внешний, то в качестве ориентира можно взять средний процент успешных сигналов. Однако стоит иметь ввиду, что, например, многочисленные группы/чаты в мессенджерах (в основном, в Telegram) могут искажать реальную статистику; — если трейдер/инвестор самостоятельно применяет торговую стратегию, ведет учет сделок и обладает достоверными и полными статистическими данными (или имеет возможность протестировать свою стратегию на истории), то:

где

p — вероятность положительного исхода по торговой стратегии / конверсия положительных сделок; M — количество прибыльных сделок; N — общее количество сделок по стратегии.

Нужно понимать, что в любом случае, данные дневника торговли (стейтмент) не будут давать статичный результат — всегда будут сопутствовать погрешности и разброс значений. При работе с историческими данными всегда есть риск смены конъюнктуры рынка, что приводит к снижению эффективности стратегии в будущем.

Заключение

Как мы говорили в начале спецпроекта, при любых финансовых операциях существуют риски. И основной задачей инвестора является не отказ от риска вообще, а выбор решения — до каких пределов имеет смысл на этот риск идти.

При любом виде инвестирования необходимо уметь заранее и корректно определять риски. Другими словами, следует понимать на какую потенциальную прибыль мы рассчитываем и на какой убыток готовы пойти. Также все вышеописанные рекомендации не будут давать результат без системной торговли, подразумевающей учет, расчет и анализ всех открываемых позиций.

По-настоящему успешный трейдер не тот, кто заработал миллионы, а тот, кто сумел не потерять и остался на рынке.

Последние новости рынка криптовалют

 Криптовалютная биржа @BitBay объявила о прекращении поддержки криптовалюты Monero. Решение платформа объяснила необходимостью соответствовать «рыночным стандартам» и противодействием отмыванию денег.
 Фирма денежных переводов @TransferGo планирует перейти на платежное решение @Ripple «ликвидность по требованию» (ODL), в которой XRP выступает промежуточной валютой.
 В очередном выпуске "Поясни за крипту" на YouTube-канале ForkLog эксперты обсудили рынок децентрализованных финансовых сервисов (DeFi).
 Рынок биткоина стремительно теряет ликвидность при одновременном росте волатильности, поэтому способен быстро развернуться в любую сторону. Такое мнение высказал стратег по цифровым активам компании VanEck @gaborgurbacs.
 Система интернет-бронирования отелей @bookingcom заключила стратегическое партнерство с блокчейн-платформой @travalacom предоставив последней базу своих объектов размещения.
 Несколько фактов, указывающих на то, что Хэл Финни — это Сатоши Накамото
 Компании постепенно прекращают поддержку конфиденциальной криптовалюты Monero
 В течение 2019 года власти КНР прекратили деятельность 173 платформ, торгующих криптовалютами и токенами, однако это не сказалось отрицательно на гражданах страны, свидетельствует отчет Народного банка.
 Цена ведущей криптовалюты выросла за сутки на 10%, поднявшись выше $7000.
 1000 «погибших» монет, или Что будет влиять на успешность новых альткоинов в будущем?

Лидеры роста

Среди TOP100 криптовалют. Данные за 24 часа.
AlgorandAlgorand ↑ 30.06%
MINDOLMINDOL ↑ 18.45%
SOLVESOLVE ↑ 17.51%
ElectroneumElectroneum ↑ 13.15%
KomodoKomodo ↑ 11.20%
Enjin CoinEnjin Coin ↑ 11.05%
Pundi XPundi X ↑ 10.69%
BytomBytom ↑ 10.35%
SteemSteem ↑ 9.52%
HyperCashHyperCash ↑ 7.89%

Лидеры падения

Среди TOP100 криптовалют. Данные за 24 часа.
HshareHshare ↓ 29.97%
WAXWAX ↓ 7.02%
SilverwaySilverway ↓ 6.96%
Matic NetworkMatic Network ↓ 4.84%
Digitex FuturesDigitex Futures ↓ 4.82%
BytecoinBytecoin ↓ 3.39%
ChilizChiliz ↓ 3.24%
EDUCareEDUCare ↓ 2.24%
Crypto.com CoinCrypto.com Coin ↓ 2.02%
ABBC CoinABBC Coin ↓ 1.9%
 
Новости компаний
Добавить новость

Чем занимается холдинг СИБУР: от переработки газа до производства современных материалов

Холдинг СИБУР это ведущая нефтехимическая компания России, которая преобразует углеводородное сырье в продукцию, необходимую в повседневной жизни и промышленности. От упаковки и медицинских изделий до строительных материалов и компонентов для...

Опубликовано: 2 месяца назад

МЕДИА ХИМИЯКоличество подписчиков4108

Белсмета Онлайн База: Умное управление финансами и сметами в один клик (пресс-релиз)

Представляем вашему вниманию пресс-релиз сервиса "Белсмета". Материал подготовлен представителями сервиса и носит исключительно в информационно-справочных целях - его ни в коем случае не следует рассматривать в качестве нашей рекомендации и (или)...

Опубликовано: 3 месяца назад

МЕДИА ХИМИЯКоличество подписчиков4108

Знакомьтесь, база семян Семяныча (пресс-релиз)

Представляем вашему вниманию пресс-релиз сервиса "Семяныч". Информация предоставлена представителями сервиса - текст, пунктуация и орфография сохранены полностью. Информация публикуется исключительно с информационно-справочными целями и ее ни в коем...

Опубликовано: 3 месяца назад

МЕДИА ХИМИЯКоличество подписчиков4108

Банковские услуги для самозанятых: как Т-Банк (бывший Тинькофф) адаптируется под их потребности

Самозанятые одна из самых быстрорастущих категорий предпринимателей в России. Их деятельность требует гибких финансовых решений, и банки вынуждены подстраиваться под эти запросы. Т-Банк (ранее Тинькофф) один из немногих, кто активно развивает...

Опубликовано: 4 месяца назад

МЕДИА ХИМИЯКоличество подписчиков4108

Gracexfx.com отзывы: стоит ли работать с этим брокером?

Сегодня трейдеры ищут не просто платформу для доступа к рынкам, а надёжного партнёра с понятными условиями, стабильной системой и поддержкой. GRACEX позиционируется именно так. Мы изучили Gracexfx.com отзывы, чтобы выяснить, насколько обещания...

Опубликовано: 5 месяцев назад

МЕДИА ХИМИЯКоличество подписчиков4108

Как сэкономить при покупке монет: лайфхаки для нумизматов (мнение)

Представляем вашему вниманию пресс-релиз клуба "Нумизмат". Представленный ниже материал полностью подготовлен представителями клуба и носит исключительно информационно-справочный характер - его не следует рассматривать в качестве нашей рекомендации...

Опубликовано: 5 месяцев назад

МЕДИА ХИМИЯКоличество подписчиков4108

Мини погрузчик Zoomlion: Инновации и преимущества для эффективного использования в строительстве и сельском хозяйстве (пресс-релиз)

Мини погрузчик Zoomlion это техника, которая завоевала популярность среди профессионалов в строительной отрасли и сельском хозяйстве благодаря своей высокой производительности, маневренности и экономичности. Этот компактный, но мощный инструмент...

Опубликовано: 5 месяцев назад

МЕДИА ХИМИЯКоличество подписчиков4108

Пресс-релиз: грузовики с КМУ от бренда FOTON

Представляем вашему вниманию пресс-релиз компании Фотон-Восток . Представленный ниже материал полностью подготовлен представителями компании и носит исключительно информационно-справочный характер - его не следует рассматривать в качестве нашей...

Опубликовано: 6 месяцев назад

МЕДИА ХИМИЯКоличество подписчиков4108

Обзор брокера Nine Ventures и мой отзыв о нем (мнение)

Проведя детальное исследования рынка брокерских услуг и проанализировав отзывы Nine Ventures, я выбрал данную платформу в качестве своего финансового партнера для работы на международных рынках. Скажу сразу, я не искал обычного брокера, большинство...

Опубликовано: 6 месяцев назад

МЕДИА ХИМИЯКоличество подписчиков4108

Атомик Капитал – успешные сделки и реальные кейсы (пресс-релиз)

Представляем вашему вниманию пресс-релиз компании Атомик Капитал . Представленный ниже материал полностью подготовлен представителями компании и носит исключительно информационно-справочный характер - его не следует рассматривать в качестве нашей...

Опубликовано: 7 месяцев назад

МЕДИА ХИМИЯКоличество подписчиков4108

 Forex Magazine © 2004-2025